HomeWorkspaceExposure
Sign in
  • Main View
  • History

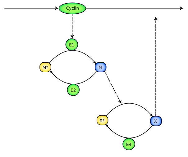
Goldbeter, 1991

FileInfo { size: 40488, binary: true, mime_type: "image/png" }
download

Preview

Copyright 2024 IUPS Physiome Project