HomeWorkspaceExposure
Sign in
  • Main View
  • History

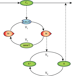
Arresting the mitotic oscillator and the control of cell proliferation: insights from a cascade model for cdc2 kinase activation

FileInfo { size: 17265, binary: true, mime_type: "image/png" }
download

Preview

Copyright 2024 IUPS Physiome Project