Metabolic Component Library for CellML

Matthias Koenig [1] & Randall Britten [2]
[1] Charite Berlin, matthias.koenig@charite.de
[2] Auckland Bioengineering Institute

Implementation of standardized reaction kinetics in CellML for reuse in metabolic models. The library covers the metabolic function definitions for processes from COPASI 4.8 (Bulid 35).

Components

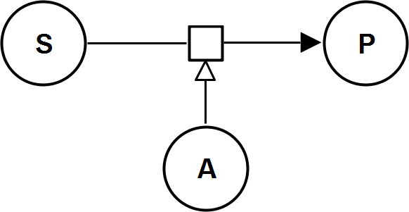
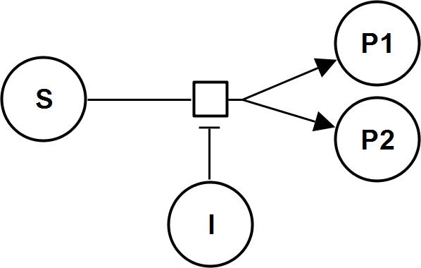
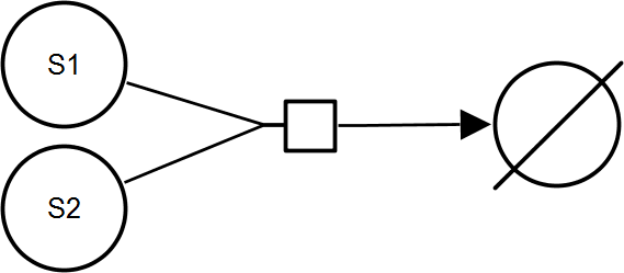
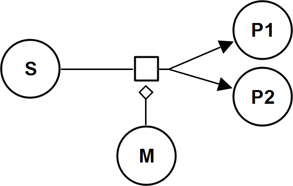
Substrate(s) : S (S1, S2, ...)
Product(s) : P (P1, P2, ... )
Inhibitor(s) : I (I1, I2, ...)
Activator(s) : A (A1, A2, ...)
Modifier(s) : M (M1, M2, ...)

AllostericInhibitionEmpirical

(Validation Errors: 0)

J [mM_per_second]
S [mM]
P [mM]
I [mM]
V_f [mM_per_second]
V_b [mM_per_second]
Km_S [mM]
Km_P [mM]
n [dimensionless]
Ki [mM]

          AllostericInhibitionEmpirical
Mechanisms
UniUniRev_I
UniUniRev_I   

AllostericInhibitionMWC

(Validation Errors: 1)

J [mM_per_second]
S [mM]
I [mM]
V [mM_per_second]
Km_S [mM]
n [dimensionless]
L [dimensionless]
Ki [mM]

          AllostericInhibitionMWC
Mechanisms
UniUniIrrev_I
UniBiIrrev_I
UniNullIrrev_I
UniUniIrrev_I    UniBiIrrev_I    UniNullIrrev_I   

BiIrrev

(Validation Errors: 0)

J [mM_per_second]
S1 [mM]
S2 [mM]
V [mM_per_second]
Km_S1 [mM]
Km_S2 [mM]

          BiIrrev
Mechanisms
BiNullIrrev
BiBiIrrev
BiUniIrrev
BiNullIrrev    BiBiIrrev    BiUniIrrev   

CatalyticActivationIrrev

(Validation Errors: 0)

J [mM_per_second]
S [mM]
A [mM]
V [mM_per_second]
Km_S [mM]
Km_A [mM]

          CatalyticActivationIrrev
Mechanisms
UniUniIrrev_A
UniBiIrrev_A
UniNullIrrev_A
UniUniIrrev_A    UniBiIrrev_A    UniNullIrrev_A   

CatalyticActivationRev

(Validation Errors: 0)

J [mM_per_second]
S [mM]
P [mM]
A [mM]
V_f [mM_per_second]
V_b [mM_per_second]
Km_S [mM]
Km_P [mM]
Km_A [mM]

          CatalyticActivationRev
Mechanisms
UniUniRev_A
UniUniRev_A   

CompetitiveInhibitionIrrev

(Validation Errors: 0)

J [mM_per_second]
S [mM]
I [mM]
V [mM_per_second]
Km_S [mM]
Ki [mM]

          CompetitiveInhibitionIrrev
Mechanisms
UniUniIrrev_I
UniBiIrrev_I
UniNullIrrev_I
UniUniIrrev_I    UniBiIrrev_I    UniNullIrrev_I   

CompetitiveInhibitionRev

(Validation Errors: 0)

J [mM_per_second]
S [mM]
P [mM]
V_f [mM_per_second]
V_b [mM_per_second]
I [mM]
Km_S [mM]
Km_P [mM]
Ki [mM]

          CompetitiveInhibitionRev
Mechanisms
UniUniRev_I
UniUniRev_I   

ConstantFluxIrrev

(Validation Errors: 0)

J [mM_per_second]
V [mM_per_second]

          ConstantFluxIrrev
Mechanisms
UniNullIrrev
UniUniIrrev
UniBiIrrev
BiBiIrrev
BiUniIrrev
UniNullIrrev    UniUniIrrev    UniBiIrrev    BiBiIrrev    BiUniIrrev   

Hill1ModifierRev

(Validation Errors: 0)

J [mM_per_second]
S [mM]
P [mM]
M [mM]
V [mM_per_second]
Keq [dimensionless]
Km_S [mM]
Km_P [mM]
Km_M [mM]
a [dimensionless]
h [dimensionless]

          Hill1ModifierRev
Mechanisms
UniUniRev_M
UniUniRev_M   

Hill2ModifierRev

(Validation Errors: 0)

J [mM_per_second]
S [mM]
P [mM]
M1 [mM]
M2 [mM]
V [mM_per_second]
Keq [dimensionless]
Km_S [mM]
Km_P [mM]
Km_M1 [mM]
Km_M2 [mM]
a_A [dimensionless]
a_B [dimensionless]
a_AB [dimensionless]
h [dimensionless]

          Hill2ModifierRev
Mechanisms
UniUniRev_M2
UniUniRev_M2   

HillIrrev

(Validation Errors: 1)

J [mM_per_second]
S [mM]
V [mM_per_second]
Km_S [mM]
n [dimensionless]

          HillIrrev
Mechanisms
UniNullIrrev
UniUniIrrev
UniBiIrrev
UniNullIrrev    UniUniIrrev    UniBiIrrev   

HillRev

(Validation Errors: 0)

J [mM_per_second]
S [mM]
P [mM]
V [mM_per_second]
Keq [dimensionless]
Km_S [mM]
Km_P [mM]
h [dimensionless]

          HillRev
Mechanisms
UniUniRev
UniUniRev   

HyperbolicModifierIrrev

(Validation Errors: 0)

J [mM_per_second]
S [mM]
M [mM]
V [mM_per_second]
Kd [mM]
Km_S [mM]
a [dimensionless]
b [dimensionless]

          HyperbolicModifierIrrev
Mechanisms
UniNullIrrev_M
UniUniIrrev_M
UniBiIrrev_M
UniNullIrrev_M    UniUniIrrev_M    UniBiIrrev_M   

HyperbolicModifierRev

(Validation Errors: 0)

J [mM_per_second]
S [mM]
P [mM]
M [mM]
V_f [mM_per_second]
V_b [mM_per_second]
Kd [mM]
Km_S [mM]
Km_P [mM]
a [dimensionless]
b [dimensionless]

          HyperbolicModifierRev
Mechanisms
UniUniRev_M
UniUniRev_M   

IsoUniUni

(Validation Errors: 0)

J [mM_per_second]
S [mM]
P [mM]
V [mM_per_second]
Keq [dimensionless]
Ki [mM]
Km_S [mM]
Km_P [mM]

          IsoUniUni
Mechanisms
UniUniRev
UniUniRev   

MassActionBiBiRev

(Validation Errors: 0)

J [mM_per_second]
S1 [mM]
S2 [mM]
P1 [mM]
P2 [mM]
k_f [per_mM_per_second]
k_b [per_mM_per_second]

          MassActionBiBiRev
Mechanisms
BiBiRev
BiBiRev   

MassActionBiIrrev

(Validation Errors: 0)

J [mM_per_second]
S1 [mM]
S2 [mM]
k_f [per_mM_per_second]

          MassActionBiIrrev
Mechanisms
BiNullIrrev
BiBiIrrev
BiUniIrrev
BiNullIrrev    BiBiIrrev    BiUniIrrev   

MassActionBiUniRev

(Validation Errors: 0)

J [mM_per_second]
S1 [mM]
S2 [mM]
P [mM]
k_f [per_mM_per_second]
k_b [per_second]

          MassActionBiUniRev
Mechanisms
BiUniRev
BiUniRev   

MassActionUniBiRev

(Validation Errors: 0)

J [mM_per_second]
S [mM]
P1 [mM]
P2 [mM]
k_f [per_second]
k_b [per_mM_per_second]

          MassActionUniBiRev
Mechanisms
UniBiRev
UniBiRev   

MassActionUniIrrev

(Validation Errors: 0)

J [mM_per_second]
S [mM]
k_f [per_second]

          MassActionUniIrrev
Mechanisms
UniNullIrrev
UniUniIrrev
UniBiIrrev
UniNullIrrev    UniUniIrrev    UniBiIrrev   

MassActionUniUniRev

(Validation Errors: 0)

J [mM_per_second]
S [mM]
P [mM]
k_f [per_second]
k_b [per_second]

          MassActionUniUniRev
Mechanisms
UniUniRev
UniUniRev   

MichaelisMentenIrrev

(Validation Errors: 0)

J [mM_per_second]
S [mM]
V [mM_per_second]
Km_S [mM]

          MichaelisMentenIrrev
Mechanisms
UniNullIrrev
UniUniIrrev
UniBiIrrev
UniNullIrrev    UniUniIrrev    UniBiIrrev   

MichaelisMentenRev

(Validation Errors: 0)

J [mM_per_second]
S [mM]
P [mM]
V_f [mM_per_second]
V_b [mM_per_second]
Km_S [mM]
Km_P [mM]

          MichaelisMentenRev
Mechanisms
UniUniRev
UniUniRev   

MixedActivationIrrev

(Validation Errors: 0)

J [mM_per_second]
S [mM]
A [mM]
V [mM_per_second]
Kac [mM]
Kas [mM]
Km_S [mM]

          MixedActivationIrrev
Mechanisms
UniUniIrrev_A
UniBiIrrev_A
UniNullIrrev_A
UniUniIrrev_A    UniBiIrrev_A    UniNullIrrev_A   

MixedActivationRev

(Validation Errors: 0)

J [mM_per_second]
S [mM]
P [mM]
A [mM]
V_f [mM_per_second]
V_b [mM_per_second]
Kac [mM]
Kas [mM]
Km_S [mM]
Km_P [mM]

          MixedActivationRev
Mechanisms
UniUniRev_A
UniUniRev_A   

MixedInhibitionIrrev

(Validation Errors: 0)

J [mM_per_second]
S [mM]
I [mM]
V [mM_per_second]
Kis [mM]
Kic [mM]
Km_S [mM]

          MixedInhibitionIrrev
Mechanisms
UniUniIrrev_I
UniBiIrrev_I
UniNullIrrev_I
UniUniIrrev_I    UniBiIrrev_I    UniNullIrrev_I   

MixedInhibitionRev

(Validation Errors: 0)

J [mM_per_second]
S [mM]
P [mM]
I [mM]
V_f [mM_per_second]
V_b [mM_per_second]
Kis [mM]
Kic [mM]
Km_S [mM]
Km_P [mM]

          MixedInhibitionRev
Mechanisms
UniUniRev_I
UniUniRev_I   

NoncompetitiveInhibitionIrrev

(Validation Errors: 0)

J [mM_per_second]
S [mM]
V [mM_per_second]
Km_S [mM]
I [mM]
Ki [mM]

          NoncompetitiveInhibitionIrrev
Mechanisms
UniUniIrrev_I
UniBiIrrev_I
UniNullIrrev_I
UniUniIrrev_I    UniBiIrrev_I    UniNullIrrev_I   

NoncompetitiveInhibitionRev

(Validation Errors: 0)

J [mM_per_second]
S [mM]
P [mM]
V_f [mM_per_second]
V_b [mM_per_second]
Km_S [mM]
Km_P [mM]
I [mM]
Ki [mM]

          NoncompetitiveInhibitionRev
Mechanisms
UniUniRev_I
UniUniRev_I   

OrderedBiBi

(Validation Errors: 0)

J [mM_per_second]
S1 [mM]
S2 [mM]
P1 [mM]
P2 [mM]
V_f [mM_per_second]
V_b [mM_per_second]
Keq [dimensionless]
Km_S1 [mM]
Km_S2 [mM]
Km_P1 [mM]
Km_P2 [mM]
Ki_S1 [mM]
Ki_S2 [mM]
Ki_P1 [mM]

          OrderedBiBi
Mechanisms
BiBiRev
BiBiRev   

OrderedBiUni

(Validation Errors: 0)

J [mM_per_second]
S1 [mM]
S2 [mM]
P [mM]
V_f [mM_per_second]
V_b [mM_per_second]
Keq [per_mM]
Km_S1 [mM]
Km_S2 [mM]
Km_P [mM]
Ki_S1 [mM]

          OrderedBiUni
Mechanisms
BiUniRev
BiUniRev   

OrderedUniBi

(Validation Errors: 0)

J [mM_per_second]
S [mM]
P1 [mM]
P2 [mM]
V_f [mM_per_second]
V_b [mM_per_second]
Keq [mM]
Km_S [mM]
Km_P1 [mM]
Km_P2 [mM]
Ki_P1 [mM]

          OrderedUniBi
Mechanisms
UniBiRev
UniBiRev   

PingPongBiBi

(Validation Errors: 0)

J [mM_per_second]
S1 [mM]
S2 [mM]
P1 [mM]
P2 [mM]
V_f [mM_per_second]
V_b [mM_per_second]
Keq [dimensionless]
Km_S1 [mM]
Km_S2 [mM]
Km_P1 [mM]
Km_P2 [mM]
Ki_S1 [mM]
Ki_P2 [mM]

          PingPongBiBi
Mechanisms
BiBiRev
BiBiRev   

SpecificActivationIrrev

(Validation Errors: 0)

J [mM_per_second]
S [mM]
A [mM]
V [mM_per_second]
Km_S [mM]
Km_A [mM]

          SpecificActivationIrrev
Mechanisms
UniUniIrrev_A
UniBiIrrev_A
UniNullIrrev_A
UniUniIrrev_A    UniBiIrrev_A    UniNullIrrev_A   

SpecificActivationRev

(Validation Errors: 0)

J [mM_per_second]
S [mM]
P [mM]
A [mM]
V_f [mM_per_second]
V_b [mM_per_second]
Km_S [mM]
Km_P [mM]
Km_A [mM]

          SpecificActivationRev
Mechanisms
UniUniRev_A
UniUniRev_A   

SubstrateActivationIrrev

(Validation Errors: 0)

J [mM_per_second]
S [mM]
V [mM_per_second]
K_sa [mM]
K_sc [mM]

          SubstrateActivationIrrev
Mechanisms
UniNullIrrev
UniUniIrrev
UniBiIrrev
UniNullIrrev    UniUniIrrev    UniBiIrrev   

SubstrateInhibitionIrrev

(Validation Errors: 0)

J [mM_per_second]
S [mM]
V [mM_per_second]
I [mM]
Km_S [mM]
Ki [mM]

          SubstrateInhibitionIrrev
Mechanisms
UniNullIrrev
UniUniIrrev
UniBiIrrev
UniNullIrrev    UniUniIrrev    UniBiIrrev   

SubstrateInhibitionRev

(Validation Errors: 0)

J [mM_per_second]
S [mM]
P [mM]
V_f [mM_per_second]
V_b [mM_per_second]
Km_S [mM]
Km_P [mM]
Ki [mM]

          SubstrateInhibitionRev
Mechanisms
UniUniRev
UniUniRev   

UncompetitiveInhibitionIrrev

(Validation Errors: 0)

J [mM_per_second]
S [mM]
V [mM_per_second]
I [mM]
Km_S [mM]
K_I [mM]

          UncompetitiveInhibitionIrrev
Mechanisms
UniUniIrrev_I
UniBiIrrev_I
UniNullIrrev_I
UniUniIrrev_I    UniBiIrrev_I    UniNullIrrev_I