HomeWorkspaceExposure
Sign in
  • Main View
  • History

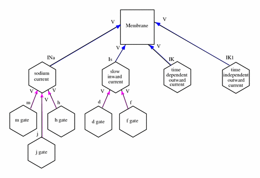
Beeler, Reuter, 1977 uncertainty example

FileInfo { size: 204051, binary: true, mime_type: "image/gif" }
download

Preview

Copyright 2024 IUPS Physiome Project