HomeWorkspaceExposure
Sign in
  • Exposure Top

Viewing exposure 864

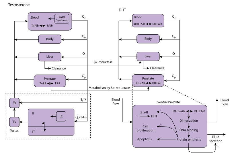
  • potter_2006.ai - false
  • potter_2006.png - false
  • potter_2006.svg - false
  • potter_zager_barton_2006.cellml - true

Source

Derived from workspace Potter, Zager, Barton, 2006 at changeset 941e8c510816.

Navigation

  • potter_zager_barton_2006.cellml
Copyright 2024 IUPS Physiome Project