HomeWorkspaceExposure
Sign in
  • Exposure Top

Viewing exposure 362

  • goldbeter_guilmot_1995.ai - false
  • goldbeter_guilmot_1995.cellml - true
  • goldbeter_guilmot_1995.html - false
  • goldbeter_guilmot_1995.png - false
  • goldbeter_guilmot_1995.session.xml - false
  • goldbeter_guilmot_1995.svg - false
  • goldbeter_guilmot_1995.xul - false
  • goldbeter_guilmot_1995_Fig2.sedml - false

Source

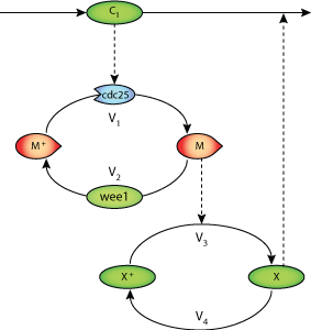
Derived from workspace Arresting the mitotic oscillator and the control of cell proliferation: insights from a cascade model for cdc2 kinase activation at changeset 5961f992c9b3.

Navigation

  • goldbeter_guilmot_1995.cellml
Copyright 2024 IUPS Physiome Project