HomeWorkspaceExposure
Sign in
  • Exposure Top

Viewing exposure 703

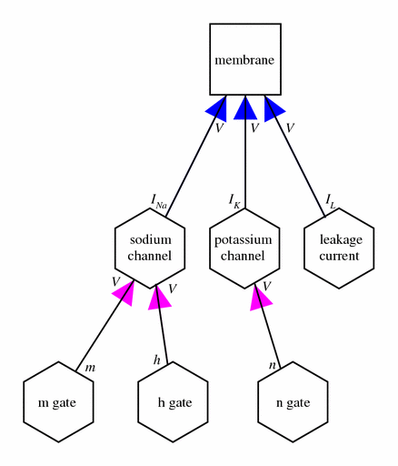
  • cellml_model.gif - false
  • hodgkin_1952.ai - false
  • hodgkin_1952.png - false
  • hodgkin_1952.svg - false
  • hodgkin_1952.xul - false
  • hodgkin_huxley_1952.cellml - true
  • hodgkin_huxley_1952.session.xml - false
  • hodgkin_huxley_1952_variant01.cellml - true
  • hodgkin_huxley_1952_variant01.session.xml - false

Source

Derived from workspace Hodgkin, Huxley, 1952 at changeset a49243bad279.

Navigation

  • hodgkin_huxley_1952.cellml
  • hodgkin_huxley_1952_variant01.cellml
Copyright 2024 IUPS Physiome Project