HomeWorkspaceExposure
Sign in
  • Exposure Top

Viewing exposure 597

  • dawson_2003a.png - false
  • dawson_2003b.png - false
  • dawson_2003c.png - false
  • dawson_lea_irvine_2003.cellml - true
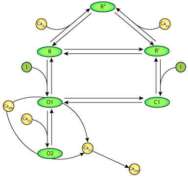
  • reaction_diagram1.gif - false
  • reaction_diagram2.gif - false
  • reaction_diagram3.gif - false

Source

Derived from workspace Dawson, Lea, Irvine, 2003 at changeset b690a07a26b8.

Navigation

  • dawson_lea_irvine_2003.cellml
Copyright 2024 IUPS Physiome Project