HomeWorkspaceExposure
Sign in
  • Exposure Top

Viewing exposure 525

  • beeler_reuter_1977.ai - false
  • beeler_reuter_1977.cellml - true
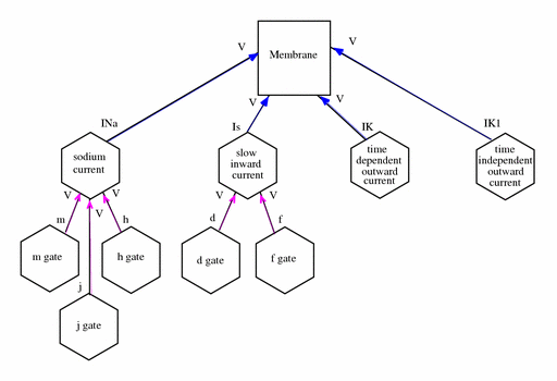
  • beeler_reuter_1977.png - false
  • beeler_reuter_1977.session.xml - false
  • beeler_reuter_1977.svg - false
  • beeler_reuter_1977.xul - false
  • beeler_reuter_1977_documentation.html - false
  • cell_diagram.gif - false
  • cellml_rendering.gif - false

Source

Derived from workspace Beeler, Reuter, 1977 at changeset cb090c96a2ce.

Navigation

  • beeler_reuter_1977.cellml
Copyright 2024 IUPS Physiome Project