HomeWorkspaceExposure
Sign in
  • Exposure Top

Viewing exposure 62

  • .gitignore - false
  • Plos_Comp_Biol_Alzheimer.ipynb - false
  • fig6.cellml - false
  • fig6.sedml - false
  • figs-2-5.cellml - false
  • figs-2-5.sedml - false
  • model.cellml - false
  • parameters.cellml - false
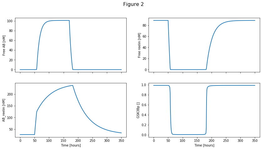
  • plot-images/Figure_2.png - false
  • plot-images/Figure_3.png - false
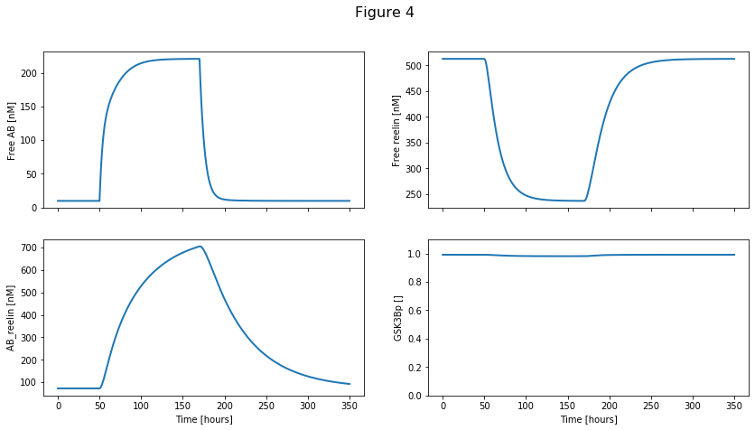
  • plot-images/Figure_4.png - false
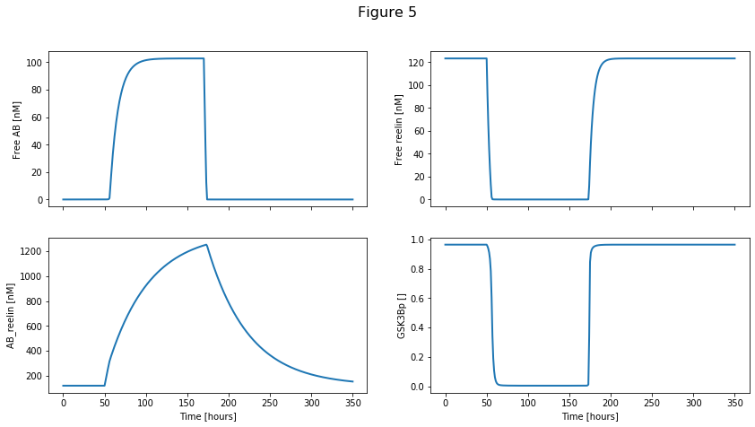
  • plot-images/Figure_5.png - false
  • plot-images/Figure_6.png - false
  • plot-images/bonus-plot.png - false
  • readme.html - false

Source

Derived from workspace Kobro-Flatmoen & Omholt 2024 at changeset 0f278fd7ed10.

Navigation

Copyright 2024 IUPS Physiome Project